Product Name :Light stabilizer 944
[Cas Number]
90624-18-9
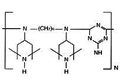
[Structure Formula ]
[Specification]
25kg carton
[Description]
输入您的搜索字词
Home
|
About COSMOS
|
Products
|
Custom Manufacturing
|
Supply Chain
|
Contact
Copyright(C)2012,
Nanjing Cosmos Chemical Co., Ltd.
All Rights Reserved. Support by
ChemNet
ChinaChemNet
Toocle
Copyright Notice