您好,欢迎来到株洲远成合中科技发展有限公司官网!
  • 热门关键词:
  • 兽药
  • 甾体
  • 医药原料及中间体
  • 化工原料
  • 植物提取物
  • 食品添加剂
产品展示

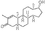
甲基司腾勃龙

别名:2A,17A-二甲基-图5a-雄甾-1-烯-3-1-17B-醇; 17β-羟基-2-甲基-5α-雄甾-1-烯-3-1

CAS:5197-58-0

M.F:C20H30O2

分子量:302.455

分子结构式:

熔点:154-156°C