| Product
code
|
Name
|
Structure
|
Property
|
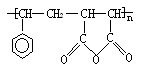
| CC0200551 |
Polymer of vinylbenzene-maleic
anhydride |
 |
Appearance: white
powder. Volatile substances:≤2%. |
| CC0200552 |
Polymer of nitro
vinylbenzene-maleic anhydride |
 |
Appearance: light
yellow solid. Readily soluble in alcohol. Volatile:
≤6.0%; nitrogen 4.5-5.6%; free acid ≤2.0%; viscosity
1.2-1.5. |
| CC0200553 |
Polymer of Itaconic acid-maleic
anhydride –Methyl methacrylate |
 |
Appearance: white powder. Soluble
in acetone, ethanol and basic solution (pH=9). Volatile
≤4.0%, monomer carboxyl group ≤1.0, bonded carboxyl
group≥13.0, viscosity:0.1-0.3. |
| CC0200554 |
Ammonium polymer of n-butylacrylate-propenate |
 |
Appearance: fluorescent, cream
white auqeous solution. Miscible in water. Free
ammonia≤0.6%, acrylic acid 0.1-0.3mmol/g, butyl
acrylate 0.4-1.5 mmol/g. |
| CC0200555 |
vinylbenzene-Itaconic acid copolymer
sodium salt |
 |
Appearance: light yellow aqueous
solution. pH 7.3-7.8. |