Product
code |
Name
|
Structure |
Property
|
| CC0200001 |
[FS1#]Poly(p-vinylbenzene)
sulfonic acid |
 |
Appearance: brown
solid. Soluble in water. Used as tanning agent,
soil modulator, anti-static agent(≤1010Ω). |
| CC0200002 |
FS2#]Sodium P-nonylphenoxy
–polyoxy-ethane-succinic acid sulfonate |
 |
Appearance: brown
liquid. Soluble in water. Used as anti-static agent(≤1010Ω). |
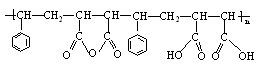
| CC0200003 |
[FS3#] Hydrolysis
polymer of vinylbenzene-maleic anhydride |
 |
Appearance: white
powder or mass. Soluble in methanol and basic solution.
Used as anti-static agent(≤1010Ω). |
| CC0200004 |
[FS4#]anti-static agent |
|
Appearance: blue liquid. Soluble
in water, methanol, acetone. Surface resistance=≤107Ω. |