| 编码
|
产品名称
|
结构式
|
物化性能
|
| CC0200001 |
线型聚苯乙烯磺酸 |
 |
外观为棕褐色固体;易溶于水;可用作合成橡胶、鞣剂,土壤调解剂;作抗静电剂(≤1010Ω)。 |
| CC0200002 |
磺化壬基酚聚氧乙烯醚琥珀酸钠 |
 |
外观为棕黄色液体;水溶性好;用作抗静电剂(≤1010Ω)。 |
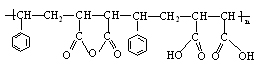
| CC0200003 |
水解苯丁树脂(水解苯乙烯-顺丁烯二酸酐共聚物) |
 |
外观为白色粉末或小块状固体,溶于碱液、甲醇,用作抗静电剂(≤1010Ω)。 |
| CC0200004 |
新型防静电剂 |
|
外观为蓝色液体,易溶于水、甲醇及丙酮;表面电阻≤107Ω。用作抗静电剂。 |